本報記者 吳珊
本周財經要聞
1.中國共產黨第十九屆中央委員會第六次全體會議在京召開
中國共產黨第十九屆中央委員會第六次全體會議11月8日上午在京召開。中央委員會總書記習近平代表中央政治局向全會做工作報告,并就《中共中央關于黨的百年奮斗重大成就和歷史經驗的決議(討論稿)》向全會做了說明。
2.北交所宣布:定于2021年11月15日開市
目前,北交所開市各項工作已準備就緒,定于2021年11月15日開市。10家已完成公開發行等程序的企業將直接在北交所上市,71家存量精選層公司平移至北交所上市的相關流程已履行完畢,屆時81家公司將成為北交所首批上市公司。
北交所開市籌備過程中,市場各方反應積極、踴躍參與。截至11月12日,累計有超210萬戶投資者預約開通北交所合格投資者權限,開市后合計可參與北交所交易的投資者超400萬戶。共有112家證券公司獲得會員資格成為北交所正式會員。
3.10月31省份CPI出爐
國家統計局12日公布的31省份10月CPI數據顯示,15個省份CPI同比漲幅低于全國。
10月份,全國居民消費價格同比上漲1.5%。其中,食品價格下降2.4%,非食品價格上漲2.4%。
國家統計局城市司高級統計師董莉娟分析稱,在10月份的同比漲幅中,去年價格變動的翹尾影響約為0.2個百分點,上月為0;新漲價影響約為1.3個百分點,比上月擴大0.6個百分點。扣除食品和能源價格的核心CPI同比上漲1.3%,漲幅比上月擴大0.1個百分點。
4.央行:堅持穩健的貨幣政策
11月12日,央行黨委召開的會議強調,堅持穩健的貨幣政策,做好跨周期設計,統籌考慮今明兩年政策銜接,更好支持消費投資恢復,抑制價格過快上漲,促進經濟社會高質量發展。繼續穩妥有序處置高風險金融機構,壓實各方責任,牢牢守住不發生系統性風險的底線。繼續深化金融供給側結構性改革,加快推進實施“十四五”金融發展規劃,建設更高水平的開放型金融新體制,有效應對外部沖擊風險。
5.商務部:積極推進加入CPTPP和DEPA等工作
11月12日上午,商務部黨組書記、部長王文濤同志主持召開黨組擴大會議。會議強調,要促進形成強大國內市場,進一步推動高水平對外開放,推動共建“一帶一路”高質量發展。要擴大商品和服務消費,全面推進鄉村振興,在高質量發展中促進共同富裕。要積極參與全球經濟治理,積極參與世貿組織改革,積極推進加入《全面與跨太平洋伙伴關系協定》(CPTPP)和《數字經濟伙伴關系協定》(DEPA)等工作。
本周市場回顧
1、股票市場

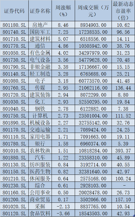
A股市場:本周(11月8日-11月12日,下同),A股三大指數震蕩走高。上證指數累計周漲幅1.36%,報3539.10點,深證成指周漲幅1.68%,報14705.37點,創業板指周漲幅2.31%,報3430.14點。
從申萬一級行業來看,本周有26個行業實現上漲,其中,房地產、國防軍工、建筑材料等行業指數周漲幅均超5%。另外,食品飲料和采掘等行業指數周跌幅則均超2%。

制表:吳珊

港股市場:本周,恒生指數累計周漲幅達1.84%,報25327.97點;恒生科技指數周漲幅達4.60%,恒生中國企業指數周漲幅3.33%。
海外市場:
本周,美國三大股指續創歷史新高后維持高位震蕩。其中,道指周跌幅0.63%;納指周跌幅0.69%;標普500指數周跌幅0.31%。
歐股集體收漲,上周,德國DAX30指數累計周漲幅0.25%,法國CAC40指數累計周漲幅0.72%,英國富時100指數累計周漲幅0.60%。
亞太股市方面,韓國KOSPI指數累計周跌幅0.02%;日經225指數累計周跌幅0.01%。
2、債券市場
近日,我國可持續發展主題債券再添新“成員”,布局GSS債券國際市場邁出了關鍵一步。
11月11日,交易商協會宣布推出社會責任債券和可持續發展債券,針對境外發行人開展業務試點。試點階段,境外機構(包括外國政府類機構、國際開發機構、境外非金融企業)可試點發行兩類債券。
據交易商協會介紹,此次社會責任債券、可持續發展債券業務試點,是協會循序漸進推動金融支持可持續發展的具體舉措。在我國債券市場創新推出社會責任債券、可持續發展債券,可以引導金融資源支持環境和社會可持續發展,有助于滿足實體企業轉型升級需求、提升中國債市國際聲譽。
3、外匯市場

本周美元指數強勢上漲0.86%至95.11,創近16個月新高,實現周線三連漲,因高通脹令市場押注美聯儲將提前加息,致使美元不斷走強。與此同時,非美貨幣集體走低。歐系貨幣中,歐元本周跌1.05%,創近16個月新低,英鎊跌0.63%,創近11個月新低。商品貨幣中,澳元跌0.92%,紐元跌1.03%,加元跌0.75%。另外日元跌0.42%。

4、大宗商品
前一周爆冷的非農數據“余威”推動金價維持強勢,使得本周初金價站上1820美元。而在美國公布高于預期的10月份通脹數據后,市場擔憂情緒更是助漲金價,多頭讓金價一舉站上1860美元。最后,獲利了結情緒及美元的上漲使得金價歸于“平靜”,周五一度下跌,但消費者信心指數的下滑又助力金價沖高,使其最終收于1864美元的高位。
貴金屬本周走強,現貨黃金收于1864.90美元/盎司,本周累漲2.56%。COMEX12月份黃金期貨上漲,收于每盎司1868.50美元,創6月11日以來最活躍合約的最高收盤價。COMEX12月份黃金期貨收漲0.3%,報1868.50美元/盎司。
另外,世界黃金協會發布報告顯示,在市場連續5個月凈買入后,截至10月底,中國黃金ETF總持有量共計74噸(約合40億美元、270億元人民幣),資產管理規模按噸位計算為有史以來的最高水平。
業內人士表示,我國黃金ETF的持續買入,一定程度上由機構投資者配置需求增加所致,反映出經濟增長不及預期帶來的避險心理上升。
最近一段時間,受原油庫存繼續攀升等多方面因素的影響,國際油價下調幅度較大,WTI、布倫特原油期貨報價創短期內新低,這意味著持續上漲的態勢被徹底打破,并且較昔日上漲的強勁勢頭相比,近期國際原油“降溫”較為顯著,尤其WTI盤中最低價失守80美元/桶,累計降幅達到最近數月以來的新紀錄,國際市場供應關系也出現微妙變化,與之前的格局截然不同。
機構投資觀點
國海證券:11月份前兩周北向資金小幅凈流出,主要原因是在海外通脹高企、美聯儲加息預期不斷加強背景下外資回流發達經濟體。11月份前兩周北向資金小幅凈流出約20億元,結束了之前連續多周凈流入的情形。具體來看,11月份第一周北向資金凈流入44億元,第二周凈流出63億元,主要原因是在美國公布10月份通脹數據后,市場對美聯儲提前加息的預期再次強化,美元、美債同步走強導致外資回流發達經濟體。盡管近期外資小幅凈流出,但從長周期視角看,今年以來北向資金已經累計凈流入3227億元,已經超過了2020年全年的2089億元,且遠超過歷年同期水平。市值維度看,近兩周外資對代表大盤風格的滬深300成分股大幅減倉,對代表中小盤風格的中證500、中證1000成分股明顯加配,這與近期重回中小票的市場風格相一致;行業風格維度看,當前北上資金配置風格仍以消費、成長為主,近兩周成長板塊持倉占比繼續提升,消費、大金融和周期風格持倉占比均有所回落。
華西證券:當前A股處于“經濟穩增長壓力顯現+逆周期、跨周期政策待發力+企業業績真空期”的階段。隨著各地保供穩價,“脹”的壓力有望在明年一季度緩解,同時國內經濟下行壓力持續顯現,在穩增長、穩就業的目標下,四季度宏觀流動性有望維持相對充裕,而不是跟隨美聯儲收水而轉向,這也為A股“跨年行情”奠定基調。風格上,優質成長是外資和機構資金增配的方向,亦是中長期配置主線。在“碳中和”的大背景下,新能源產業鏈將是未來持續高景氣度行業,鋰電、光伏、儲能、風電等板塊,后市或反復活躍,可重點關注。具體到行業配置上,建議“優質成長”優先,兼顧“低估值”:1.受益于“雙碳”政策、行業景氣度高的優質成長板塊,如“新能源、新能源汽車”等;2.需提防年內低估值板塊逆襲、補漲的機會,重點關注“銀行”等低估值板塊。主題投資關注“碳中和內涵拓展、軍工、數字經濟、元宇宙”等。
萬聯證券:當前市場仍處于震蕩盤整期,仍將結構型行情為主。行業配置方面,建議關注:1.政策支持力度較大,未來訂單和排產充足的新能源產業鏈,風電、光伏、儲能等細分賽道的機會;在手訂單充足的軍工行業;2.豬周期預期逐步觸底回升,種業科技賦能的農林牧漁行業和三季報披露后近期估值回撤較大、性價比回升的家電、紡服、輕工等可選消費板塊;3.低估值已部分反應悲觀預期,四季度日歷效應下表現通常較好的銀行、保險等大金融板塊。
(編輯 崔漫 才山丹)
中金公司:2022年A股有“驚”無“險”2021-11-08 11:45
| 11:41 | 遠東股份:11月份千萬元以上合同訂... |
| 11:40 | 國產可重復使用運載火箭成功發射入... |
| 11:39 | 汽車之家榮膺“最具投資價值中概股... |
| 11:39 | 滴滴深度融入拉美市場 數字銀行服... |
| 11:38 | 最高法發布7大典型案例 銀行違規... |
| 11:31 | 匯豐以15億美元信貸資金支持中國內... |
| 10:38 | 這家公司擬易主 連漲3個“一字板”... |
| 09:43 | 新華互聯與章魚上古科技達成戰略合... |
| 23:42 | 兩部門發文促進文旅與民航業融合發... |
| 23:42 | 從寧波舟山港實現第四個“千萬箱級... |
| 23:42 | 11月份中國物流業景氣指數為50.9% |
| 23:42 | 李強主持國務院第十七次專題學習 |
版權所有證券日報網
互聯網新聞信息服務許可證 10120180014增值電信業務經營許可證B2-20181903
京公網安備 11010202007567號京ICP備17054264號
證券日報網所載文章、數據僅供參考,使用前務請仔細閱讀法律申明,風險自負。
證券日報社電話:010-83251700網站電話:010-83251800 網站傳真:010-83251801電子郵件:xmtzx@zqrb.net
掃一掃,即可下載
掃一掃,加關注
掃一掃,加關注